
地 址:上海市金山区兴塔工业区
咨询电话:021-57362601
图文传真:021-33250343
电子邮箱:hanyuev@126.com
网 址:http://www.maiby.cn
压力波动预止阀能有效抑制泵后阀门关阀后的高压水锤,那么什么是水锤现象?水锤计算方法是什么?
在有压力管路中,由于某种外界原因(如阀门突然关闭、水泵机组突然停车)使水的流速突然发生变化,从而引起压强急剧升高和降低的交替变化,这种水力现象称为水击或水锤。
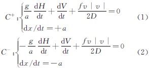
水锤基本方程是由运动方程和连续性方程组成的一组非线性双曲线偏微分方程,对此组合方程的直接求解非常困难,可采用求取双曲线偏微分方程的特征值进行求解。在特征值的约束下使偏微分方程转化为常微分方程:

式中,g为当地重力加速度;a为水锤波速;H为测压管水头;t为时间;V、v均为流速;f为管道摩阻参数;D为管径;x为位置坐标。
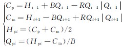
根据特征线进行积分,由式(1)、(2)进行有限差分近似,得到对应于图1网格。图1中,Δx为网格管段长度;A为管道断面积;数值计算时采用经过简化的差分方程格式:
图1水锤计算特征线网格
其中B=a/(gA);R=fΔx/(2gDA2)
式中,Cp、Cm均为特征线方程的已知常数;B为管道的特性常数;R为管道的摩阻特性常数;Qi-1、Qi+1分别为断面i-1、i+1的流量;Hi-1、Hi+1分别为断面i-1、i+1的测压管水头;Hpi、Qpi分别为断面i的测压管水头和流量。
网站首页