
地 址:上海市金山区兴塔工业区
咨询电话:021-57362601
图文传真:021-33250343
电子邮箱:hanyuev@126.com
网 址:http://www.maiby.cn
在测试的各个阶段,对软密封闸阀进行了解体检测;同时按照 GB/T13927-1992《通用阀门压力试验》的要求,对阀门进行了密封性测试。根据检测的结果,总结如下:
1、软密封闸阀阀体的密封面完好,没有任何摩擦损伤。
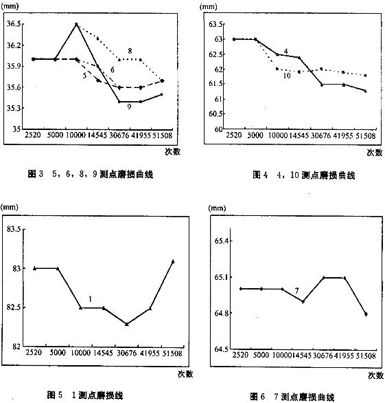
2、软密封闸阀阀板从外表来看与阀体接触的密封面有轻微的擦痕。此擦痕在运行1万次开始出现,到,3万次时发展较快,3万次到5万次之间发展较平缓。
3、阀板从圆周划分的12点来看,磨损基本对称,表明阀板在阀体中受力基本均匀。2点和12点厚度尺寸变化较小,这两点的受力较小;3点和11点厚度尺寸变化有所增加;4点和10点的变化最大(1.7mm和1.2mm),证明此处的受力最大;5、6点和8、9点的变化较小,此处由侧向接触转为正压接触。

4、尽管阀板有磨损,但通过密封性试验,其性能仍能完全达到GB/T 13927-1992的要求。
5、从阀杆、丝套及其他传动部位的尺寸检测,均未见明显磨损。
6、目前,静压寿命试验已达到51508次,远远超过JB /T 53162-1999《闸阀产品质量分等》软密封闸阀优等品静压寿命试验次数(4000次),随着测试的持续进行,该测试启闭次数仍在继续增加。
网站首页