
地 址:上海市金山区兴塔工业区
咨询电话:021-57362601
图文传真:021-33250343
电子邮箱:hanyuev@126.com
网 址:http://www.maiby.cn
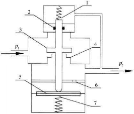
研究的逆向卸荷式气体减压阀工作原理如图1所示,它将出口压力反馈至副弹簧腔,卸掉入口压力作用在阀芯运动系统上的不平衡力,这样大大改善了减压阀的精度调节特性。阀芯杆3 与阻尼罩上环形间隙连同阻尼孔一起起到阻尼作用,有利于气体减压阀的动态稳定。

1、副弹簧 2、密封圈 3、阀芯 4、阀座 5、敏感元件 6、阻尼罩 7、主弹簧
图 1 逆向卸荷式减压阀工作原理图
在气体减压阀的动态数学建模时,特作如下假设:
1、视工作介质为理想气体,气流为定常绝热流动;
2、阀腔内的气体参数用集中参数方法来描述,即腔体内气体的压力、密度及温度分布均匀;
3、不计密封不良造成的气体泄漏流量的影响,即当阀芯开度x=0时,质量流量qm=0;
4、忽略气体的位能,同时气体的动能与内能相比很小,可忽略不计。
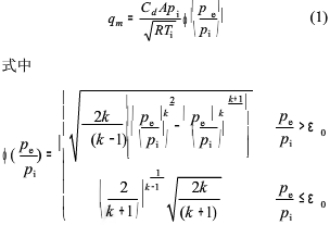
一、质量流量方程
对于气体流过减压阀的节流口或限流孔时,一般情况下,可将孔口近似当作收缩喷嘴来处理,因此可得孔口的质量流量为

式中,Cd为孔口流量系数;A为孔口截面面积;Pi、Pe分别为孔口的入、出口压力;Ti为孔口的入口温度;ε0为临界压力比(对于空气及双原子气体ε0=0.528)
二、质量守恒方程
根据质量守恒定律,在任何瞬时,流出控制体的质量流量等于控制体内的质量对时间的减少量,则控制腔内的质量守恒方程为
![]()
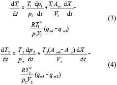
由气体的状态方程M=pV/RT及腔体体积的变化规律可得,高、低压腔的质量守恒方程分别为

式中,x0为阀芯的初始开度;x、X为阀芯开度与运动位移;qmi、qm1、qm2为入口,节流口与出口处流量;V1、V2分别为高低压腔的体积;Avc、Amb分别为阀芯与膜片有效作用面积。
三、能量守恒方程
由于忽略了气流的位能与动能,当气体减压阀处于动态调节过程时,高、低压腔的体积也随之变化,同时腔体内的气体还需做机械功。因此,可得腔体内的能量方程为
![]()
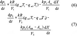
把气体的内能方程E1=CvTM及焓h=CpT代入上式,并化简得高、低压腔的能量守恒方程分别为

四、质量系统的运动方程
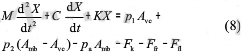
在气体减压阀的动态调节过程中,作用在阀芯等运动部件上的力除了气体压力、弹簧力外,还有摩擦力、阻尼力及流体流动作用力等非线性因素。对运动组件进行受力分析后,可写出其运动系统的动力平衡方程为

式中M为运动组件的有效质量;C为阻尼系数;Fk为弹簧预安装力;Ffr为摩擦力;Ffl为流体流动作用力则由以上式(3)、(4)、(6)、(7)及式(8)所组成的微分方程组就构成了减压阀调节系统的动态数学模型。
网站首页