
地 址:上海市金山区兴塔工业区
咨询电话:021-57362601
图文传真:021-33250343
电子邮箱:hanyuev@126.com
网 址:http://www.maiby.cn
目前尚无现成的压力波动预止阀计算模型可供选用,需要根据其工作原理构建相应的计算模 型。压力波动预止阀与普通阀门的主要区别在于管道内首次出现压力下降时便打开,让返回的水锤波不再受止回阀的阻挡,顺畅地排放到外界,以消除高压水锤。据此,参考普通阀门的计算模型,可建立压力波动预止阀的模型,如图1所示。图中Q为流量;①②代表不同的管号;N,NS,1,2,为管道内节点;Δx1,Δx2为不同管道的节点间距;Δt为时间步长;C+,C-分别为正特征线和负特征线。

图1压力波动预止阀计算模型
瞬变流情况下,当条件满足式(1),压力波动预止阀便开启动作。
![]()
式中:x为开启设定压力系数,0<x<1
定常流情况下,可写出通过阀门孔口方程为
![]()
式中:Q0为定常状态下的流量;H0为定常状态下的损失压头;(CdAG)0为阀门流量系数乘以开启面积。
对于其他开度下,有
![]()
式中:ΔH是通过阀门时的压头降。
定义量纲一的阀门开度为
![]()
对于正方向流动,孔口方程为
![]()
考虑压力管道的相容性方程为
![]()
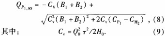
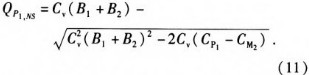
联立方程(4),(5),(6),得

对于负方向流动,孔口方程为
![]()
联立方程(6),(7),(10),得

求解出流量Q后,代入相容性方程便可求解出压力头H。
上述计算模型可加入到HAMMER,PIPE,FIow-master等商用水锤分析软件或自编程序中使用。
版权所有,如需转载请注明出处!由于篇幅有限,如若你需要对压力波动预止阀了解更多详细情况欢迎来电咨询!我们将为您提供最优质的咨询服务,咨询手机:13816357694。也可登录我公司网站:http://www.maiby.cn/水力控制阀,查看产品详细介绍。
网站首页